https://www.acmicpc.net/problem/3977
3977번: 축구 전술
World Soccer Championship이 다가오고 있다! 천재적인 전술을 창조하는 플랜 아티스트 감독 도현이는 자신의 팀이 승리하도록 만반의 준비를 가하고 있다. 도현이의 전략은 경기장을 여러 개의 구역
www.acmicpc.net
문제


풀이
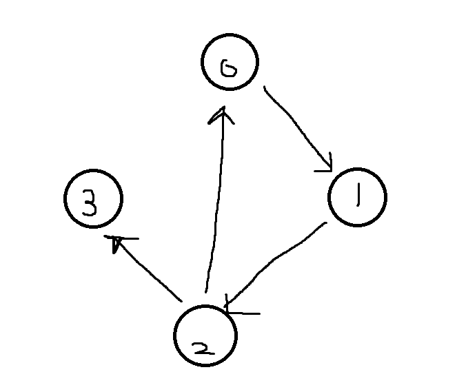
이동 구간 경로가 주어 졌을 때 , 어느쪽을 스타트로 잡아야 하는지 정하는 문제다.첫 번째 입력을 그래프로 나타내면 다음과 같은데
만약 3번에서 시작한다고 하면 주어진 경로를 모두 탐색할 수 없기 때문에 불가능.
그럼 나머지 0,1,2 번 지점에서는 저 중 아무곳에서 출발을 해도 모든 구간을 탐색이 가능하기 때문에 0,1,2 가 답.
즉 , { 0, 1, 2 } 를 하나의 큰 노드로 보고 Indegree = 0 인 구간에서 시작하면 된다는 뜻.
따라서 { 0, 1, 2 } 를 하나의 큰 노드로 보기위해 SCC 알고리즘을 사용해야 한다.
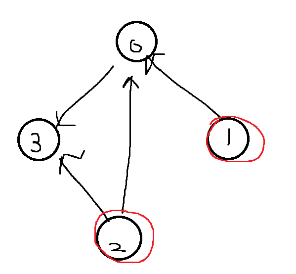
하지만 반례도 있다.두 번째 입력 예제에선 1번과 2번노드 둘다 indegree=0 이 되기 때문에 서로 간에 이동이 불가능하다.
따라서 SCC 를 구한 후 , Indegree=0 인경우를 카운팅하여 2개 이상인 경우엔 예외로 처리하면 끝
|
1
2
3
4
5
6
7
8
9
10
11
12
13
14
15
16
17
18
19
20
21
22
23
24
25
26
27
28
29
30
31
32
33
34
35
36
37
38
39
40
41
42
43
44
45
46
47
48
49
50
51
52
53
54
55
56
57
58
59
60
61
62
63
64
65
66
67
68
69
70
71
72
73
74
75
76
77
78
79
80
81
82
83
84
85
86
87
88
89
90
91
92
93
94
95
96
|
import java.util.*;
import java.io.*;
import java.util.stream.*;
import static java.util.Arrays.*;
public class Main {
static int index,sccCount;
static int[] discover,finish,sccNum,inDegree;
static ArrayList<ArrayList<Integer>> graph;
static Stack<Integer> st;
public static void main(String[] args) throws IOException {
BufferedReader br = new BufferedReader(new InputStreamReader(System.in));
int tc = Integer.parseInt(br.readLine());
while (tc-->0){
graph = new ArrayList<>();
int[] input = stream(br.readLine().split(" "))
.mapToInt(Integer::parseInt).toArray();
for(int i=0;i<input[0];i++) graph.add(new ArrayList<>());
for(int i=0;i<input[1];i++){
int[] edge = stream(br.readLine().split(" "))
.mapToInt(Integer::parseInt).toArray();
graph.get(edge[0]).add(edge[1]);
}
findScc();
setIndegree();
String ans = getStartPoint();
System.out.println(ans);
br.readLine();
}
}
static void findScc(){
st = new Stack<>();
index=0; sccCount=0;
finish = new int[graph.size()];
discover = new int[graph.size()];
sccNum = new int[graph.size()];
for(int i=0;i<graph.size();i++)
if(discover[i]==0) dfs(i);
}
private static void setIndegree() {
inDegree = new int[sccCount+1];
for(int i=0;i<graph.size();i++) {
for (Integer next : graph.get(i))
if (sccNum[next] != sccNum[i]) inDegree[sccNum[next]]++;
}
}
private static String getStartPoint() {
int zeroCount=0;
ArrayList<Integer> sccList = new ArrayList<>();
StringBuilder sb = new StringBuilder();
for(int i=1;i<inDegree.length;i++){
if(inDegree[i]==0 && zeroCount==0){
zeroCount++;
for(int j=0;j<sccNum.length;j++)
if(i==sccNum[j]) sccList.add(j);
}else if(inDegree[i]==0 && zeroCount!=0){
sb.append("Confused").append("\n");
return sb.toString();
}
}
Collections.sort(sccList);
sccList.forEach(e->sb.append(e).append("\n"));
return sb.toString();
}
private static int dfs(int cur) {
discover[cur] = ++index;
st.push(cur);
int parent = discover[cur];
for (Integer next : graph.get(cur)) {
if(discover[next]==0) parent = Math.min(parent,dfs(next));
else if(finish[next]==0) parent = Math.min(parent,discover[next]);
}
if(parent == discover[cur]){
while (true){
Integer pop = st.pop();
finish[pop]=1;
sccNum[pop] = sccCount+1;
if(pop==cur) break;
}sccCount++;
}
return parent;
}
}
|
cs |

'알고리즘,PS > 백준' 카테고리의 다른 글
| [BOJ] 백준 [6603] 로또 JAVA (0) | 2021.11.29 |
|---|---|
| [BOJ] 백준 [2109] 순회강연 JAVA (0) | 2021.11.25 |
| [BOJ] 백준 [4013] ATM JAVA (0) | 2021.11.23 |
| [BOJ] 백준 [4196] 도미노 JAVA (0) | 2021.11.23 |
| [BOJ] 백준 [1948] 임계경로 JAVA (0) | 2021.11.21 |

