https://www.acmicpc.net/problem/5719
5719번: 거의 최단 경로
입력은 여러 개의 테스트 케이스로 이루어져 있다. 각 테스트 케이스의 첫째 줄에는 장소의 수 N (2 ≤ N ≤ 500)과 도로의 수 M (1 ≤ M ≤ 104)가 주어진다. 장소는 0부터 N-1번까지 번호가 매겨져 있
www.acmicpc.net
문제


풀이
쉽게 풀 수 있을줄 알았다 .. 최단 경로 찾아서 없애주고 , 처음 구한 최단경로보다 높은 값 나올때까지
다익스트라 다시 쓰면 되는줄 ..하지만 실패하고 반례를 살펴보니 다른 조건이 추가되어야 했다.

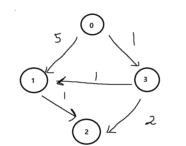
예를들어 , 0에서 출발하여 2로 도착하는 예시에서
최단 경로가 될 수 있는 경우의 수는 2가지이다. (0->3->2 , 0->3->1->2)
만약 0->3->2 경로를 지운다고 하면 남은 경로인 0->1->2 가 정답이 아닌 '경로는 없음'이 정답이란 것.
즉 , 다른 최단거리 경로인 0->3->1->2 또한 마찬가지로 지워줘야 한다.
다익스트라 경로 설정부분에서

1.경로가 갱신될 때 , 이전 경로가 싹 다 바뀌기 때문에 pathList를 초기화 하고 다시 담거나
2.같은 최단거리의 다른 경로가 있으면 해당 경로만 담도록하여 경로배열을 모두 채운다.

그런 다음 큐를 이용하여 순차적으로 도착지점에서부터 시작해서 역추적 + 경로제거 를 동시에 시행.
이게 끝나야 다익스트라를 한번 더 돌렸을 때 원하는 답을 구할 수 있음
|
1
2
3
4
5
6
7
8
9
10
11
12
13
14
15
16
17
18
19
20
21
22
23
24
25
26
27
28
29
30
31
32
33
34
35
36
37
38
39
40
41
42
43
44
45
46
47
48
49
50
51
52
53
54
55
56
57
58
59
60
61
62
63
64
65
66
67
68
69
70
71
72
73
74
75
76
77
78
79
80
81
82
83
84
85
86
87
88
89
90
91
|
import java.util.*;
import java.io.*;
import java.util.stream.Collectors;
public class Main{
static int N,E;
static ArrayList<Node>[] list;
static int[] distance;
static ArrayList<Integer>[] pathList;
public static void main(String[] args) throws IOException {
BufferedReader br = new BufferedReader(new InputStreamReader(System.in));
String input;
while(!(input=br.readLine()).equals("0 0")){
int[] e = Arrays.stream(input.split(" ")).mapToInt(Integer::parseInt).toArray();
int[] point = Arrays.stream(br.readLine().split(" ")).mapToInt(Integer::parseInt).toArray();
N=e[0]; E=e[1]; // 노드 , 엣지 개수 초기화
list = new ArrayList[N];
pathList = new ArrayList[N]; // 경로 역추적을 하기위한 배열
distance = new int[N];
for(int i=0;i<N;i++) {
list[i] = new ArrayList<>();
pathList[i] = new ArrayList<>();
}
for(int i=0;i<E;i++){
e = Arrays.stream(br.readLine().split(" ")).mapToInt(Integer::parseInt).toArray();
list[e[0]].add(new Node(e[1],e[2]));
}
int len = findShortestPath(point[0], point[1]);
removePath(point[1]);
int ret = findShortestPath(point[0], point[1]);
if(ret==Integer.MAX_VALUE || len==Integer.MAX_VALUE)
System.out.println(-1);
else
System.out.println(ret);
}
}
static int findShortestPath(int start,int end){
;
Arrays.fill(distance,Integer.MAX_VALUE);
PriorityQueue<Node> q = new PriorityQueue<>();
q.add(new Node(start,0));
distance[start] = 0;
while(!q.isEmpty()){
Node cur = q.poll();
if(distance[cur.node] < cur.weight) continue;
for (Node next : list[cur.node]) {
if(distance[next.node] > distance[cur.node]+next.weight) {
distance[next.node] = distance[cur.node] + next.weight;
q.add(new Node(next.node,distance[next.node]));
pathList[next.node].clear();
pathList[next.node].add(cur.node);
}else if(distance[next.node] == distance[cur.node]+next.weight) {
pathList[next.node].add(cur.node);
}
}
}
return distance[end];
}
static void removePath(int end){
LinkedList<Integer> queue = new LinkedList<>();
queue.add(end);
while(!queue.isEmpty()){
int poll = queue.poll();
pathList[poll].forEach(e->list[e].stream().filter(x->x.node==poll).findAny().ifPresent(x->{
list[e].remove(x);
queue.add(e);
}));
}
}
static class Node implements Comparable<Node>{
int node;
int weight;
public Node(int node, int weight) {
this.node = node;
this.weight = weight;
}
@Override
public int compareTo(Node o) {
return this.weight-o.weight;
}
}
}
|
cs |

'알고리즘,PS > 백준' 카테고리의 다른 글
| [BOJ] 백준 [2150] 강한 결합 요소 JAVA (0) | 2021.10.08 |
|---|---|
| [BOJ] 백준 [19581] 두 번째 트리의 지름 JAVA (0) | 2021.10.04 |
| [BOJ] 백준 [2533] 사회망 서비스(SNS) JAVA (0) | 2021.09.30 |
| [BOJ] 백준 [9252] LCS 2 JAVA (0) | 2021.09.29 |
| [BOJ] 백준 [1005] ACM Craft JAVA (0) | 2021.09.28 |